PREMIUM 1.0570 Steel
St52-3 / ~S355J2+N

AIS I /SAE 1.0570 (St 52-3)

PREMIUM 1.0570 Steel
St52-3 / ~S355J2+N

St52-3 / ~S355J2+N
PFS/BA
-flat-
Toleranzen.png
PRS
-round-
Toleranzen.png

1.0570  - AT A GLANCE

What kind of steel is the 1.0570?

Der Werkstoff 1.0570 ist ein unlegierter Baustahl, der auch als St52-3 oder als ~S355J2+N bezeichnet wird.
Die Bezeichnung ~S355J2+N steht für:

355 

J2 

+N 

=   Structural steel

=   the minimum yield strength in N/mm2

=   is the impact strength at -20°C (min. 27 joules)

=   Normalised or normalising rolled for an optimised homogeneity and toughness of this steel grade

S = Struktureller Stahl

355 = die Mindeststreckgrenze in N/mm2

J2 = ist die Kerbschlagarbeit bei -20 °C (mind. 27 Joule)

+N = Normalgeglüht oder Normalisierungsgewalzt zur Verbesserung der Homogenität und Zähigkeit dieser Stahlgüte 

The 1.0570 has a good machinability, dimensional stability and due to its low carbon content can be welded well. This naturally hard / annealed tool steel is only used for unhardened components.

Properties

The strutural steel 1.0570 has excellent mechanical properties and weldability. It can be used in many industries due to its good combination of machinability, toughness and strength. All of these properties make the 1.0570 a reliable and cost effective tool steel.

  • Unalloyed structural steel
  • Good machinability
  • Good dimensional stability
  • High toughness
  • Good weldability due to its low carbon content
  • Naturally hard / annealed
  • Magnetisable
  • Hardening is not usually done
  • Polishing is not usually done
  • Graining is not commonly done
  • Nitirding is not commonly done

Applications

Structural steel 1.0570 is due to its good mechanical properties used in many industries. It has excellent machinability and is due to its low carbon content easiliy weldable. This steel grade is only used for unhardened components.

  • Mechanical engineering
  • Base plates
  • Moulding frames
  • Construction materials
  • Steel frames
  • Hand tools
  • Knives
  • Sledge hammers
  • Spanners

1.0570 Standard values

Chemical composition:

C Si Mn P S
0.0 - 0.22 0.0 - 0.55 0.0 - 1.6 0.0 - 0.035 0.0 - 0.035

Chemical designation:
St52-3 / ~S355J2+N

Working hardness:
approx. 180 HB (annealed)

Delivery condition:
max. 180 HB

1.0570 Physical properties

  • Structural steel
  • Tool steel

To be classified as stainless steel, the material must contain a minimum of 10.5% chromium. 1.0570 contains 0% chromium and is therefore not stainless steel in the traditional sense.

To be corrosion-resistant, a grade must contain a minimum of 10.5% chromium by mass. With 0% chromium, 1.0570 is not corrosion-resistant.

Yes, as a ferromagnetic steel, the 1.0570 is magnetisable and can be clamped to a magnetic plate for machining.

The structural steel 1.0570 receives on a scale where 1 is low and 6 is high a 1 for its wear resistance.

1.0570 Technical properties

The 1.0570 / St52 is not a typical knife steel.

A typical knife steel has high hardness, corrosion resistance, wear resistance, can be sharpened and keeps an edge.

The 1.0570 achieves a working hardness of approx. 180 HB (natural hardness/annealed).

At room temperature the structural steel has a typical density of 7,85 g/cm3.

The tensile strength for the 1.0570 at delivery is at 6250 N/mm2. For this result the material is undergoing a tensile test which shows how much force is needed before the material starts to stretch or elongate before it breaks.

Yield strength

Dimentions

Value

<= 100 mm

>= 315 MPa

100 – 250 mm

>= 275 MPa

250 – 500 mm

>= 265 MPa

On a scale where 1 is low and 6 is high the 1.0570 receives a 6 for its machinabilty.

The heat conductivity for the 1.0570 is between 35,0 – 45,0 W/(m*K) at room temperature.

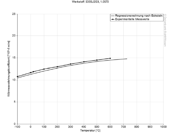
The following table shows how much the material expands or contracts at different temperatures. This information can be relevant when when components or parts are exposed to high temperatures or for applications with ever changing temperatures.

Medium thermal expansion coefficient

Value 10-6m/(m*K)

At a temeprature of

11.1

20 – 100 °C

12.1

20 – 200 °C

12.9

20 – 300 °C

13.5

20 – 400 °C

13.9

20 – 500 °C

The specific heat capacity of the 1.0570 is at 0,46 J/g*K at room temperature.

This value shows how much heat is needed to heat a specific amount of material by 1 Kelvin.

The following table shows the specific electrical resistance. Electrical conductivity is the reciprocal of electrical resistivity.

Specific electrical resistance

Value (Ohm*mm²)/m

Bei einer Temperatur von

0.15

20 °C

PIONEERING!

1.0570 Procedure

The heat treatment determines the material properties and should be carried out with care. Properties such as strength, toughness, surface hardness and temperature resistance are determined, which in turn can extend/improve the service life of parts, tools and components.

Heat treatment includes solution heat treatment, soft annealing, normalising, stress-relief heat treatment, but also tempering, hardening and quenching.

Heat the structural steel 1.0570 evenly to a temperature of and finish the process by cooling the material slowly again in the oven.

To relieve the material of internal stresses after machining or welding evenly heat the material to a temperature of 550 – 580°C and hold for 4 hours. To finish this process let the material cool down in the oven.

In order to achieve a finer, more homogeneous structure with improved properties, 1.0570 is normalised. To do this, the material is heated to a uniform temperature of 890–950 °C and cooled in air.

1.0570 Surface treatment

In general, polishing is a type of surface treatment that can increase corrosion resistance, for example, but also creates an attractive appearance.

Another type of surface treatment is coating or hardening the surface. To name just a few, the surface can be nitrided, carburised, hard chrome-plated or treated using CVD or PVD processes to give it greater hardness.

In addition to corrosion resistance, various surface treatments can also improve wear resistance, extend service life and reduce friction. The right surface treatment can therefore improve the overall performance of the workpiece and provide even better protection.

1.0570 Processing

For forging, 1.0570 structural steel is heated to a temperature of 850–1050 °C and forged. The forging temperature should not fall below 850 °C.

1.0570 can be welded using all conventional welding methods.
After welding, the material should be stress relieved.

ALTERNATIVES

Are you looking for an alternative steel grade?

With the ABRAMS STEEL GUIDE®, you are able to obtain an alternative or equvelent with just a few clicks.

DATASHEET

Download the technical data sheet in PDF format here.

Messe.png

SERVICES

Do you require special dimensions?

 

Our services for you: water jet cutting, sawing, milling and grinding.

richtwerte-2.png

Standard values

Chemical designation: St52-3 / ~S355J2+N
Working hardness: approx. 180 HB (annealed)
Delivery condition: maximum 180 HB
Chemical composition:
C Si Mn P S
0

0,22
0

0,55
0

1,6
0

0,035
0

0,035
technical-info.png

Technical properties

Unalloyed structural steel with good machinability and dimensional stability, high toughness and good weldability because of its low carbon content (C<= 0,22%). This grade is only used for unhardened components.

anwendungen.png

Applications

Mechanical engineering, base plates, moulding frames, construction materials, steel frames, hand tools, knives, sledge hammers, spanners.

70 STEEL GRADES IN 33.895 DIMENSIONS

EX WORKS FROM OSNABRÜCK

DELIVERY IN 3-5 WORKING DAYS (SUBJECT TO AVAILABILITY)

WITHOUT MINIMUM ORDER VALUE OR QUANTITY

FROM EUROPE'S LARGEST RANGE OF SEMI-FINISHED PRODUCTS

SPECIAL CUSTOM DIMENSIONS SAWN - MILLED - GROUND

Select Your Country / Language

Do you have any questions?

If you have any comments or questions regarding ABRAMS PREMIUM STEEL® products or this website, please do not hesitate to contact us.

Please feel free to call us at any time:

+49 541/357 39-0

or send us an E-mail to:

[email protected]

If you have any comments or questions regarding ABRAMS PREMIUM STEEL® products or this website, please do not hesitate to contact us.

Please feel free to call us at any time: